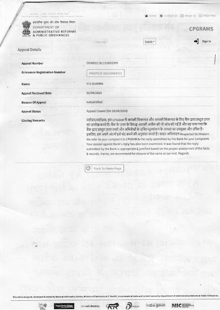
विषय :- " असत्य है आपका मूल्याकंन SIR "
दिनांक 20-04-2023
GBSEPM/AGUP/20/2023/HSS
GBSEPM
स्थापित -- 28 फरवरी 1998; संयोजक - श्री हरीशंकर शर्मा ; कार्यालय- एम.आई.जी. -464 सैक्टर-10, आवास विकास कॉलोनी,सिकन्दरा आगरा-07 (ऊ प्र)
विषय :- " आरोप No. 5 जारी किया " दिनांक 23 फरवरी 2026 पत्रांक GBSEPM/AGUP/23/2026/HSS https://drive.google.com/file/d/1_a_YfDGVfH_...
No comments:
Post a Comment