Saturday, 30 October 2021

" आपकी लापरवाह कार्य-प्रणाली "

विषय :- " आपकी लापरवाह कार्य-प्रणाली "
दिनांक 29 अक्टूबर 2021
To,
सहायक कमिश्नर  SIR,
EPFO कार्यालय,
लखनऊ U.P.












GBSEPM

 

" बैंक ऑफ इण्डिया की घटिया व नकारात्मक कार्य प्रणाली साक्ष्य सहित "

विषय :- " बैंक ऑफ इण्डिया की घटिया व नकारात्मक कार्य प्रणाली साक्ष्य सहित "
भारत दिनांक 28 अक्तूबर 2021


To,
माननीय केन्द्रीय विधि एवं कानून मंत्री जी
भाजपा केन्द्र सरकार भारत 







GBSEPM

Tuesday, 19 October 2021

" झूठी सूचना में आप अव्वल है "

विषय :- " झूठी सूचना में आप अव्वल है "
दिनांक 19 अक्टूबर 2021
To,
SHRI S.B. सिंह SIR,
अध्यक्ष आर्यावर्त बैंक 
प्रधान कार्यालय 
लखनऊ UP






 

Sunday, 17 October 2021

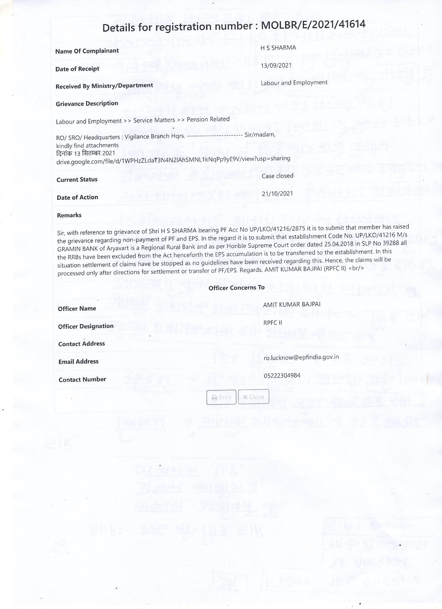
" 10 माह बाद भी पेंशन और EPFO में जमा धन का भुगतान नहीं हुआ "

विषय :- " 10 माह बाद भी पेंशन और EPFO में जमा धन का भुगतान नहीं हुआ "
भारत दिनांक 18 अक्तूबर 2021

TO,
SHRI राजेन्द्र कुमार तिवारी जी
मुख्य सचिव 
उत्तर प्रदेश सरकार
101 लोक भवन , सिविल सचिवालय,
विधानसभा मार्ग,
लखनऊ UP 226001








GBSEPM

 

" 10 माह बीत गये पेंशन जारी नही हुयी "

विषय :- " 10 माह बीत गये पेंशन जारी नही हुयी "

दिनांक 18 अक्तूबर 2021


To,
सहायक जनरल मैनेजर SIR,
भारतीय रिजर्व बैंक
R P C D 8-9 विपिन खण्ड,
गोमती नगर , लखनऊ UP










" 10 माह बाद भी पेंशन जारी नहीं हुयी "

विषय :- " 10 माह बाद भी पेंशन जारी नहीं हुयी "

दिनांक 18 अक्तूबर 2021


To,
SHRI R.K.SHARMA SIR
(OSD)
राष्ट्रपति भवन सचिवालय ,
नई दिल्ली, भारत







GBSEPM


 

" प्रबन्ध निदेशक ने आरोप-पत्र GBSEPM/AGUP/16/2026/HSS दिनांक 16.01.2026 को स्वीकार किया "

विषय :- " प्रबन्ध निदेशक ने आरोप-पत्र GBSEPM/AGUP/16/2026/HSS दिनांक 16.01.2026 को स्वीकार किया "  दिनांक 02-02-2026 पत्रांक:- GBS...